七匣子:手机游戏、热门软件,尽在七匣子手游下载中心!

最新入库 | 热门游戏 | 开服表 | 攻略秘籍 | 手机软件教程 | 下载排行榜 | 手机版
所在位置 : 首页 > 手机应用 > 系统工具 > 千维计算器中文版

千维计算器中文版

千维计算器中文版

点此纠错

  • 版本:6.8.5
  • 大小:22.20M
  • 语言:简体中文
  • 类别:系统工具
  • 人群 : 年满十八周岁以上
  • 更新:2024-08-08 15:41
  • 权限:点击查看
  • 隐私:点击查看
  • 系统: 需要支持安卓系统5.2以上
  • 厂商:重庆小方程科技有限公司
  • MD5:9256aaa1fda61371d7cec0cbe4f569d1
  • 备案:渝ICP备2023013867号-2A
  • 包名:com.lineying.unitconverter
  • 需要网络 无广告
9.8
7xz特别说明交友需谨慎,陌生链接勿点,转账汇款勿信,防骗指南要记牢,请注意保护个人隐私。
应用简介 相关版本 相关专题 同类应用
应用介绍

千维计算器中文版app是由个人用户独立研发的一款功能强大,使用灵活的手机计算器软件,千维计算器中文版集汇率查询转换、手机屏幕尺子、手机屏幕量角器、噪音分贝测量仪、房贷计算器、购房税费计算器、工资计算器、个人所得税计算器、进制转换等实用功能于一身,千维计算器中文版极大的满足了用户计算的需求。

千维计算器中文版app怎么算最小二乘法

1、先把n个数据测量值画在坐标纸上,如果呈现一种直线趋势,才可以进行最小二乘法(直线回归法)。

千维计算器中文版

2、然后就是计算这些n个数据点的横坐标平均值和纵坐标的平均值:

千维计算器中文版

3、接着计算所有点的横坐标求和结果,以及所有点的纵坐标求和结果:

千维计算器中文版

4、然后是计算每个数据点横坐标的平方,然后求和,以及计算每个点横坐标乘以纵坐标的乘积,然后求和:

千维计算器中文版

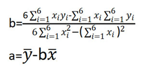
5、最后就是利用两个公式,把将要求的直线方程中的截距a和斜率b这两个参数代入上面的公式计算出来:

千维计算器中文版

6、求出了a和b这两个参数之后,就可以得到直线方程:y=ax+b。这个时候还要利用这个方程,先取两个点,这两个点要求横坐标x1和x2距离比较远,这样误差会比较小(太近的两个点,误差比较大),然后分别代入刚求出来的直线方程y=ax+b,求出对应的y1和y2,然后把(x1,y1)和(x2,y2)描点在坐标纸上,这样就可以利用两点画出一条最终的回归直线了。

千维计算器中文版

7、用户可以按照上述的创建自定义公式方法在千维计算器中创建最小二乘法的公式,然后进行方便计算。

千维计算器中文版

千维计算器中文版app介绍

千维计算器中文版app适用于生活日常、工作商务、投资理财、学习作业、物理工程等各种场景,支持数字按键语音实时播报,感兴趣的用户可以来下载体验一下!

千维计算器中文版app特色

1、【科学计算器】支持校园中常见数学三角函数、幂函数、圆周率、对数函数、无理数。

2、【自由公式】可任意自定义计算规则公式,不仅适用于日常学习中的常见公式。

3、【数据统计】支持实时计算数据样本的平均数、总和、方差、标准差、中位数、众数。

4、【单位换算】内置20+多种常见数学单位、物理工程单位、化学单位的换算,一键换算。

千维计算器中文版app亮点

1、实时计算银行、复利、定投收益情况。

2、支持36进制以内的任意进制数之间的转换。

3、支持实时更换自定义主题皮肤。

4、任意拾取色彩颜色、采集图片中任意位置的颜色。

千维计算器中文版app优势

千维计算器中文版app多种计算方式满足不同用户的不同需求,应用功能覆盖范围广,随时随地随心计算,给用户带来极其方便的计算工具,是一款非常全面的手机计算器。

热门应用
相关版本
猜你喜欢
万能计算器软件 无广告的计算器 多功能计算器软件 计算热量的app

万能计算器软件

万能计算器软件哪个好用?本期专题为大家分享免费的万能计算器软件,借助这些软件用户可以随时对不同的数据进行计算,为用户提供最良好的计算体验。同时,这些软件都是可以免费使用的,无需用户额外的氪金,有需要的用户快来下载体验吧。

无广告的计算器

无广告的计算器软件有哪些?本期专题将为大家盘点和推荐无广告免费的计算器软件,这些软件可以根据用户的需求提供良好的计算统计效果,并且中间全程无广告,使用时也是全部免费的,无需用户氪金充值,感兴趣的用户快来下载这些计算器软件吧!

多功能计算器软件

多功能计算器软件有哪些?本期专题将为大家盘点和推荐免费多功能计算器软件,这些计算器软件可以帮助用户计算包括日期时间排序、加减乘除以及平时生活中遭遇的需要计算的事项,让用户获得更良好的使用,感兴趣的用户快来下载体验吧!

计算热量的app

计算热量的app免费推荐,结果精准的热量计算app有哪些?本期专题为大家分享可以准确计算用户每日摄入能量多寡的app,通过对这些软件的应用,用户能够更好地把食物的摄入,避免造成健康问题的发生,或者说更好地减肥、降低长胖的概率,有需要的用户可以下载这些软件体验哦。

最新应用
同类应用
×

历史更新资料↓

我知道了